Haji Dan Umrah
Kembali Lagi Kita Dalam Siri Ke Empat Husnu Zon Travel Tours Facebook
Nota Panduan Haji Dan Umrah Rev Online Presentation
Niat Ibadah Haji Dan Umrah Dilakukan Ketika Brainly
Doa Haji Dan Umroh Sejarah Ahlulbait Rasulullah
M12 Umrah Niat Bersyarat Ms167 200 Pages 1 34 Text Version Anyflip
Umrah Dan Haji Shafiqolbu
Umrah Ziarah Panduan Umrah
Ibadat Haji Dan Umrah
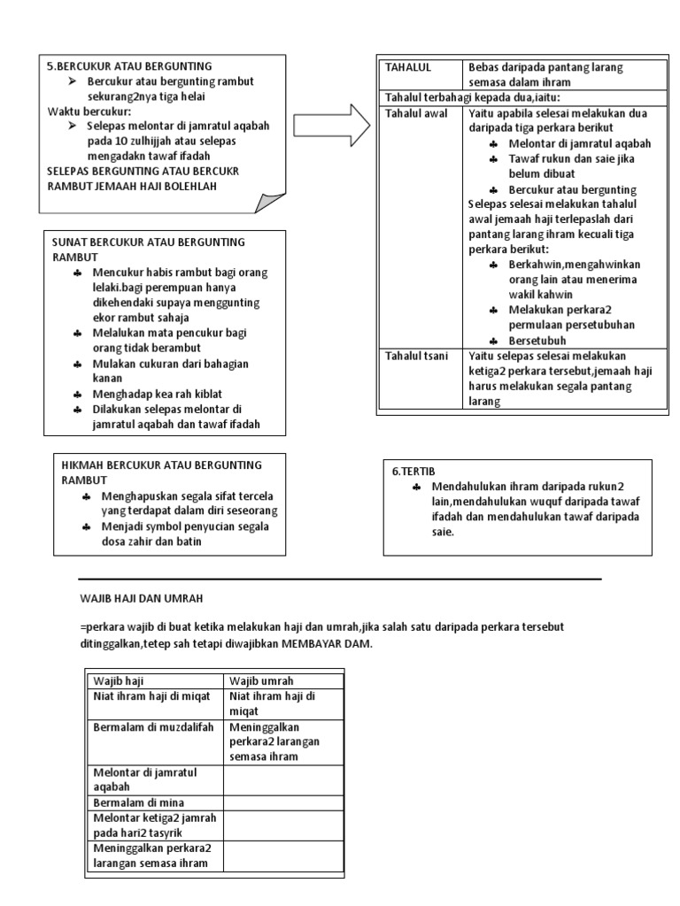
Wajib Haji Dan Umrah
Panduan Umrah Lengkap Ringkas Dan Mudah Mustaqim Travel
Rukun Haji Tawaf Bahagian Bimbingan Lembaga Tabung Haji Pdf Download Gratis
Ct471 Perjalanan Haji 1 Memahami Rukun Haji Dan Wajib Haji Laman Menulis Gaya Sendiri G2
Niat Haji Dan Umrah Berita Umroh Haji Umrohhajinews Com